快收藏!哈尔滨九区九县新冠疫苗接种门诊信息完全汇总表
搜狐焦点哈尔滨 2021-12-20 09:38:00
用手机看
扫描到手机,新闻随时看
扫一扫,用手机看文章
更加方便分享给朋友
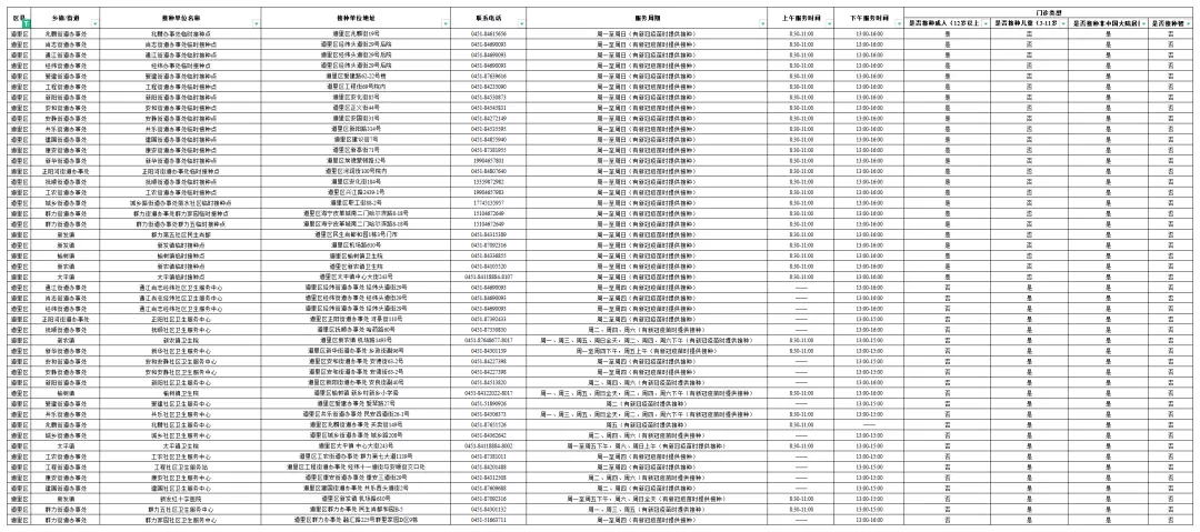
疫苗接种是预防和控制新冠疫情最重要的手段,请没有接种疫苗或需要接种加强针的市民尽快到指定门诊进行新冠疫苗接种,为了方便广大市民疫苗接种,特将新冠疫苗接种门诊信息进行公示。哈尔滨九区九县新冠疫苗接种门诊信息(点击表格可查看清晰大图) 1、道里区新冠疫苗接种门诊信息: 2、南岗区新冠疫苗接种门诊信息:
疫苗接种是预防和控制新冠疫情最重要的手段,请没有接种疫苗或需要接种加强针的市民尽快到指定门诊进行新冠疫苗接种,为了方便广大市民疫苗接种,特将新冠疫苗接种门诊信息进行公示。哈尔滨九区九县新冠疫苗接种门诊信息(点击表格可查看清晰大图)
1、道里区新冠疫苗接种门诊信息:

2、南岗区新冠疫苗接种门诊信息:

3、道外区新冠疫苗接种门诊信息:

4、平房区新冠疫苗接种门诊信息:

5、松北区新冠疫苗接种门诊信息:

6、香坊区新冠疫苗接种门诊信息:

7、呼兰区新冠疫苗接种门诊信息:

8、阿城区新冠疫苗接种门诊信息:

9、双城区新冠疫苗接种门诊信息:

10、依兰县新冠疫苗接种门诊信息:

11、方正县新冠疫苗接种门诊信息:

12、宾县新冠疫苗接种门诊信息:

13、巴彦县新冠疫苗接种门诊信息:

14、木兰县新冠疫苗接种门诊信息:

15、通河县新冠疫苗接种门诊信息:

16、延寿县新冠疫苗接种门诊信息:

17、尚志市新冠疫苗接种门诊信息:

18、五常市新冠疫苗接种门诊信息:

来源于:冰城网
声明:本文由入驻焦点开放平台的作者撰写,除焦点官方账号外,观点仅代表作者本人,不代表焦点立场。
